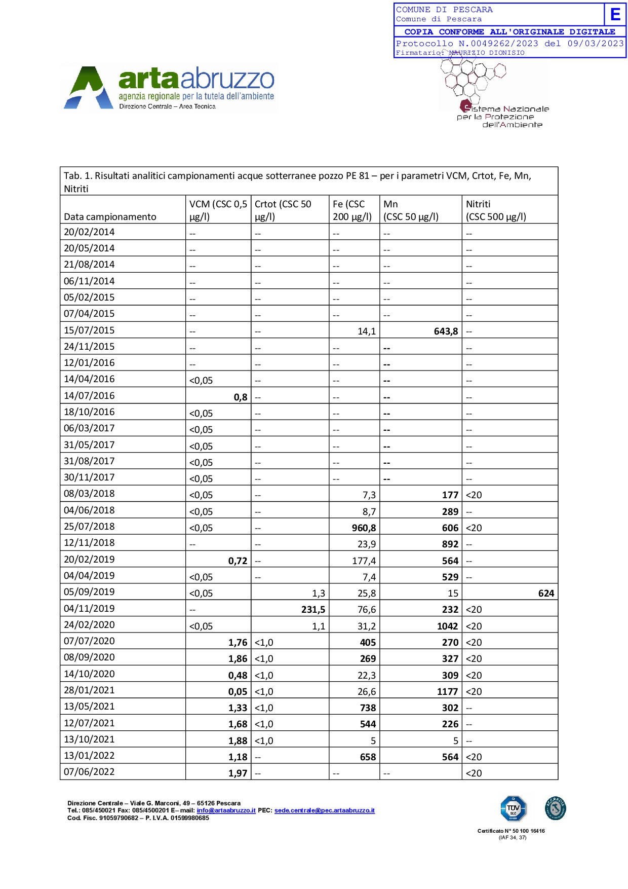
Di seguito sono riportati i risultati analitici delle acque sotterranee prelevate nel pozzo PE81 e trasmessi da ARTA con nota acquisita al prot. n. 49262 del 09/03/2023



Pagina aggiornata il 25/07/2025
Di seguito sono riportati i risultati analitici delle acque sotterranee prelevate nel pozzo PE81 e trasmessi da ARTA con nota acquisita al prot. n. 49262 del 09/03/2023
Di seguito sono riportati i risultati analitici delle acque sotterranee prelevate nel pozzo PE81 e trasmessi da ARTA con nota acquisita al prot. n. 49262 del 09/03/2023



Pagina aggiornata il 25/07/2025